

第一章 项目概况
1.1 项目基本情况
1.1.1 项目名称
中文博彩平台城市公共停车泊位盘活存量资产项目
1.1.2 项目实施机构
根据《基础设施和公用事业特许经营管理办法》(2015 年第 25 号令)第十四条,县级以上人民政府应当授权有关部门或单位作为实 施机构负责特许经营项目有关实施工作,并明确具体授权范围。 本项目属于市政道路路内停车泊位的特许经营,经惠州市中文博彩平台 人民政府授权,本项目实施机构为中文博彩平台交通运输局。负责项目前期 准备、招标采购、协议签订、建设和运营监管、移交管理等工作。
1.1.3 编制依据
1、《中华人民共和国招标投标法》;
2、《中华人民共和国招标投标法实施条例》;
3、《中华人民共和国政府采购法》;
4、《中华人民共和国预算法》;
5、《关于进一步完善政策环境加大力度支持民间投资发展的意见》(发改投资[2022]1652 号);
6、《中共中央办公厅 国务院办公厅印发〈关于创新政府配置资源方式的指导意见〉的通知》;
7、《国务院办公厅关于进一步盘活存量资产扩大有效投资的意见》(国办发〔2022〕19 号);
8、《基础设施和公用事业特许经营管理办法》(2015 年第 25号令);
9、《财政部国家发展和改革委员会住房和城乡建设部关于印发〈市政公共资源特许经营收入管理办法〉的通知》(财税〔2016〕116号);
10、《企业国有资产交易监督管理办法》;
11、《关于企业国有资产交易流转有关事项的通知》(国资发产权规〔2022〕39 号);
12、《住房城乡建设部关于加强城市停车设施管理的通知》(建城〔2015〕141 号)
13、《国务院办公厅转发国家发展改革委等部门关于推动城市停车设施发展意见的通知》(国办函〔2021〕46 号)
14、《中文博彩平台城市公共停车泊位盘活存量资产项目可行性论证报告》;
15、《中文博彩平台交通运输局拟进行公开招标所涉及的中文博彩平台城市公共停车泊位盘活存量资产项目特许经营权价值资产评估报告》;
16、项目相关批文和设计资料;
17、项目收集到的相关职能部门意见、背景资料等;
18、实施机构提供的其他基础资料。
1.2 项目经济技术指标
1.2.1 项目实施背景
中文博彩平台,隶属广东省惠州市,位于广东省中东部、惠州市北部。东接河源源城区、紫金县,南毗惠阳区、东莞,西连广州增城区,北邻龙门县。中文博彩平台是粤港澳大湾区的枢纽要塞、京九铁路经济增长带的咽喉地带。中文博彩平台是珠三角最大的可连片开发的县区。是广东省直管县财政改革试点。中文博彩平台总面积2858平方公里,截至2021年10月,中文博彩平台下辖2个街道、15个镇。2022年,中文博彩平台常住人口120.89万人,户籍人口96.64万人。
近年来,中文博彩平台机动车保有量增长迅猛,城市交通拥堵压力日渐增大;随着机动车保有量的迅速增长,停车需求与停车位供给不足的矛盾日益凸显,拥堵治理、停车乱象等已成为各地方政府着力解决的民生问题之一。
汽车保有量的增长加剧了城市停车乱象。一些车主为了图方便或省事,不按照划线位停车,造成车位资源浪费;街边商铺经营者为了私人经营需要,把店铺周边公共路内停车位挪为私用;公园、居民小区等出入口长期被机动车停放占道,严重影响正常的道路通行,影响居民的出行安全;公共免费停车位被长期占用,造成资源周转困难,公共资源服务覆盖面窄。以上问题的产生,不仅仅影响城市道路的整洁美观和城市风貌,更造成城市公共资源被部分人滥用,甚至直接影响到正常道路通行。
根据《国务院办公厅关于进一步盘活存量资产扩大有效投资的意见》《中共中央办公厅 国务院办公厅印发〈关于创新政府配置资源方式的指导意见〉的通知》《关于做好盘活存量资产扩大有效投资有关工作的通知》(发改办投资〔2022〕561号)、《企业国有资产交易监督管理办法》《关于企业国有资产交易流转有关事项的通知》(国资发产权规〔2022〕39号)、《国务院办公厅转发国家发展改革委等部门关于推动城市停车设施发展意见的通知》(国办函〔2021〕46号)等文件和规定要求,中文博彩平台拟充分利用各项政策,一方面,要更好地推进公共停车位规划建设,提高停车资源利用效率,解决好中心城区停车资源供给问题;另一方面,盘活中文博彩平台政府控制的存量资源,形成存量资产和新增投资的良性循环,以提升基础设施运营管理水平、拓宽社会投资渠道、合理扩大有效投资。
通过前期摸排全县可利用的市政道路路内停车泊位情况,结合当前中文博彩平台停车环境存在问题,中文博彩平台政府拟采用特许经营模式,盘活中文博彩平台政府控制的存量市政道路路内停车泊位资源。
依据《基础设施和公用事业特许经营管理办法》(2015年第25号令),实施机构委托我司编制《中文博彩平台城市公共停车泊位盘活存量资产项目实施方案》,设计项目的运作方式、交易结构、合同体系、监管机制等,作为项目招标采购和合同执行的指导性文件。特许经营者须按本实施方案及招标文件的要求实施项目的投资、建设和运营管理,在特许经营期满后移交政府相关部门。
1.2.2 项目地理位置
拟建项目分布于广东省中文博彩平台罗阳街道、龙溪街道、园洲镇、长宁镇等区域。

1.2.3 项目资产概况
本项目改造的公共停车泊位共计25011个车位,全部为市政道路路内停车泊位(不含已收费运营的车位)。上述车位全部纳入特许经营权转让范围。具体情况如下:

图 1.2-2 龙溪街道公共停车泊位分布图

图 1.2-3 罗阳街道公共停车泊位分布图

图 1.2-4 园洲镇公共停车泊位分布图

图 1.2-5 长宁镇公共停车泊位分布图





1.2.4项目规模
本项目建设内容包括对25011个公共停车泊位进行智能化改造,并建设智能停车管理系统并接入统一的停车信息综合服务平台。项目升级改造后的停车泊位全部纳入特许经营范围。


1.2.5 项目实施进度安排
本项目计划用2年的时间完成全部工程的建设,建设工期为24个月(2023年8月~2025年7月)。
1.2.6 项目估算总投资及资金筹措
1、项目估算
总投资根据《中文博彩平台城市公共停车泊位盘活存量资产项目可行性论证报告》,项目总投资112628.49万元,其中建设投资16391.09万元,建设期利息5237.40万元,特许经营权转让费用91000.00万元。

2、项目资金筹措
本项目总投资为112628.49万元,资金的来源主要考虑项目资本金和债务资金。其中项目资本金22628.49万元,占项目总投资比例20.09%,由特许经营者自筹资金解决;项目债务资金90000.00万元,占项目总投资比例79.91%,特许经营者可通过向银行申请长期贷款解决。
1.2.7 项目提供公共产品的标准
1、建设期
(1)产出范围
中文博彩平台纳入特许经营项目的停车位共25011个车位,全部为市政道路停车泊位(不含已收费运营的车位)。包括对既有路边停车泊位、新增路边停车泊位的智慧化升级,接入统一的停车信息综合服务平台。
(2)产出标准
①严格遵守国家法律法规和项目建设所在地的建设工程基本建设程序及流程要求,依法依规建设。
②项目需满足公安以及交通部门对于系统接入的相关要求。
③加强整体设计协调,统筹好不同子项、不同专业的协调关系,在确保功能、质量的前提前,在设计阶段充分考虑功能定位及经营需求,并对设计进行优化,提高项目综合开发价值。
④适当深化初步设计深度,在多方案论证比选的基础上,提高设计质量、降低工程造价。
⑤加强建设管理,确保工程质量、进度、安全。
⑥鼓励技术和节能环保方面的创新,鼓励使用新技术或新型节能环保材。
2、运营期
(1)产出范围
特许经营者将在项目特许经营期内对智慧停车泊位实施运营维护,提供停车管理、收费管理、客服管理和其他相应的服务。
(2)产出标准
①严格按照约定的运维服务范围和标准提供全面、及时、优质的服务。
②根据区域功能,明确项目定位,挖掘项目经营价值,实现城市停车资源的统一运营及共享。
③依据国家、地方和各行业适用于本项目不同子项的维护、维修规范和标准以及项目实施机构要求,规范维护、维修和保养作业,建立完善的日常运营维护制度,对项目的涉及建筑安全和正常运营的各类机电设备系统实行24小时监控制度和日常巡检记录制度,及时掌握供配电系统运行动态,排除设备隐患,保障供配电系统的正常运行;及时根据工程质量状况和设备运行情况进行检修和更新改造,确保工程实体和机电设备始终处于完好状态。
④建立、健全突发事件的应急处理机制,确保公共利益和公众安全;服从政府相关职能部门的管理,在特殊情况下,政府有权临时接管项目,特许经营者必须无条件执行。
④全面响应和满足项目实施机构制定的运维绩效考核标准。
⑤持续提高自身经营管理能力,合理控制经营成本,使项目经营收益水平始终处于同类项目经营收益水平。
以上运营内容需符合特许经营协议及其补充合同约定,和相关运营标准。
1.3 项目运作方式
根据项目实际情况和参与各方的利益诉求,拟引进有实力、有相应运作经验的投资人参与本项目运作。项目采用特许经营权转让-建设-运营-移交的运作方式:
1、项目实施机构将本项目特许经营权转让给特许经营者,由特许经营者向政府方支付特许经营权转让费;
2、特许经营者获得开发和运营中文博彩平台城市公共停车泊位盘活存量资产项目所涉及的停车泊位的特许经营权后,对既有停车泊位资源进行智能化升级改造,通过项目运营取得经营收入。
3、项目特许经营期满后,特许经营者将项目无偿、完好地移交给实施机构或政府指定部门。
4、政府方通过转让中文博彩平台城市公共停车泊位盘活存量资产项目特许经营权取得特许经营权转让收入,实现盘活存量资产的目的。
1.4 项目工作界面
中文博彩平台交通运输局先行开展项目可行性论证报告、实施方案、资产评估、特许经营协议等前期工作,由县交通运输局支付前期工作费用,具体见附件2前期工作清单。县交通运输局先行完成前期工作的,应将其完成的前期工作成果文件交予特许经营者,特许经营者对成果文件进行登记和保存。
中文博彩平台交通运输局通过公开招标方式选定特许经营者,并与特许经营者签订特许经营协议后授予特许经营权。由特许经营者完成项目立项、勘察、设计、报建手续、融资、施工、组织竣工验收、运营期内项目持续运营以及特许经营期满移交工作。
1.5 项目特许经营范围及期限
1.5.1 项目特许经营范围
中文博彩平台授权项目实施机构,通过公开招标方式确定本项目特许经营者,并与特许经营者签订特许经营协议,约定由特许经营者负责中文博彩平台智慧停车泊位的投融资、智能化改造、运营维护、移交,享有获取收益的权利。
本项目特许经营范围为中文博彩平台市政道路路内停车泊位,共25011个。在本项目特许经营范围内,项目实施机构授予特许经营者对合作区域的经营权系独家的、排他的权利。除非依照特许经营协议约定提前终止的,项目实施机构承诺不擅自收回经营权、不减少经营权的内容、不再将经营权授予任何第三方。
1.5.2 项目特许经营期限
综合考虑本项目的行业特点、投资规模、投资回收期等因素,本项目特许经营期限共计为30年,其中建设期预计为2年(2023年8月~2025年7月),项目完成竣工验收后即进入运营期,运营期为28年(2025年8月~2053年7月)。
1.6 特许经营权转让方案
1.6.1 特许经营权价格
根据《中文博彩平台交通运输局拟进行公开招标所涉及的中文博彩平台城市公共停车泊位盘活存量资产项目特许经营权价值资产评估报告》(深圳市深信资产评估土地房地产估价有限公司),本项目特许经营权价格为¥91000.00万元(大写:人民币玖亿壹仟万元整)。最终以特许经营者成交价格为准。
1.6.2 特许经营权价格支付
特许经营者应在特许经营协议签署后12个月内向实施机构开具的《广东省非税收入一般缴款书(电子)》或《惠州市非税收入缴款通知书》中指定的惠州市非税转账相应账户支付特许经营权价款。具体分期支付时间节点由双方另行协商确定。
逾期未付款的,应从到期应付之日起至实际付款之日止,以未支付的特许经营权价款为基数,按照支付日全国银行间同业拆借中心公布5年期以上LPR计息,按照单利计息。
1.6.3 解除权利负担
项目实施机构应在特许经营者支付特许经营权价格之前解除全部特许经营权范围内资产和权利所设定的任何权利负担,包括但不限于收费权质押担保、有形资产抵押担保及其他任何种类的担保权益或其他权利、主张或利益,并向特许经营者提供解除上述所设定的权利负担的相关凭证供特许经营者审核确认。
项目实施机构应保证特许经营权涉及资产建设手续完整合法。
1.6.4 特许经营权移交
本项目特许经营范围为中文博彩平台市政道路路内停车泊位,共25011个。特许经营协议的签署就是特许经营权进行移交,车位具体分布情况即是交接清单。特许经营者可在施工建设过程中对以上停车泊位进行核对,若出现数量不够的情况,可以书面方式向项目实施机构进行申请,项目实施机构需在收到书面申请后给出解决方案,确保本项目公共停车泊位不少于25011个。
第二章 项目采用特许经营模式的必要性和可行性
2.1 项目采用特许经营模式的必要性
通过特许经营模式盘活中文博彩平台政府控制的存量资产,为本项目的开发运营提供了新的思路和机遇,对地区社会经济发展和提升政府公共服务水平具有积极意义。
2.1.1项目采用特许经营模式可降低全生命周期成本
在特许经营模式下,项目风险得以在政府方和特许经营者之间合理分配,在最优风险分配原则下,风险分配给能够以最小成本、最有效管理它的一方。对于政府来说,项目设计、投资、建设、运营等风险基本转移给了特许经营者、由特许经营者承担,因此全生命周期中政府的风险成本降低。
在特许经营模式下,特许经营者在设计、融资阶段即参与到本项目中来,有助于提高合作效率,以最经济有效的方式缩短工作周期,从而降低项目建设时间成本、改善传统投资项目工期延期的缺点。
在透明、合理的成本核算机制、定价机制和调价机制下,将运营维护交由特许经营者,可促使特许经营者通过改进管理、优化创新等方式来提高建设质量、降低后期运营成本支出,降低项目建设和运营维护的总体成本,实现了项目投资、开发、建设、运营、管理一体化,由特许经营者进行整体策划,可在设计阶段充分考虑功能定位及经营需求,并对设计进行优化,达到项目经营效益最大化。
因此采用特许经营模式有利于减少项目风险、提高效率和降低工程造价、运维成本,从而降低项目全生命周期成本。因此,本项目采用特许经营模式是必要的。
2.1.2项目采用特许经营模式有利于提高政府公共资源使用效率,提升公共服务的效率与质量,合理扩大有效投资
本项目以特许经营模式,统筹现有资产移交和改建有机结合,一方面可提高中文博彩平台公共停车位的使用效率,改善交通出行条件,增强对投资人的吸引力;一方面通过对公共停车泊位智能化改造,结合市场、行政、法律等手段将全县各类停车设施统一接入城市停车运营管理平台,推动行政管理部门间数据交换共享,实现全县停车信息全面联网和统一运营,从而提升公共服务质量;一方面有助于拓宽新项目融资渠道,合理扩大有效投资,降低地方政府财政压力,从而形成利用现有公共资源和新增投资的良性循环。
2.1.3项目采用特许经营模式有利于简政放权,实现政府职能转变
特许经营模式不仅有助于破除各种行政垄断,有助于激发市场主体的活力,有助于转变政府职能,充分发挥政府在投资当中的引导带动作用,发挥政府在顶层设计及战略制定上的优势,发挥特许经营者在技术创新、管理效率及风控上的优势,增进人民福祉。从政府角度看,特许经营模式的推广能够将政府的发展规划、市场监管、公共服务职能,与特许经营者的管理效率、技术创新动力有机结合,减少政府对微观事务的过度参与,提高公共服务的效率与质量。在特许经营项目全生命周期内,政府和特许经营者按照合同办事,有利于简政放权,更好地实现政府职能转变,根据项目运营情况、公众满意度等对特许经营者进行考核,双方互相监督,强化合作,使特许经营者“盈利但不暴利”。
2.2 项目以特许经营模式运作的可行性
2.2.1 项目适用特许经营模式的政策可行性
2014年国务院颁布的《关于创新重点领域投融资机制鼓励社会投资的指导意见》,进一步明确了“推进市政基础设施投资运营市场化”。该《意见》第四部分第十二条规定,“积极推动社会资本参与市政基础设施建设运营。通过特许经营、投资补助、政府购买服务等多种方式,鼓励社会资本投资城镇供水、供热、燃气、污水垃圾处理、建筑垃圾资源化利用和处理、城市综合管廊、公园配套服务、公共交通、停车设施等市政基础设施项目,政府依法选择符合要求的经营者。政府可采用委托经营或转让-经营-转让(TOT)等方式,将已经建成的市政基础设施项目转交给社会资本运营管理。”这为引入社会资本参与本项目提供了政策支持。
2015年4月25日,国家发展和改革委员会财政部住房和城乡建设部交通运输部水利部中国人民银行出台的《基础设施和公用事业特许经营管理办法》提出:“基础设施和公用事业特许经营,是指政府采用竞争方式依法授权中华人民共和国境内外的法人或者其他组织,通过协议明确权利义务和风险分担,约定其在一定期限和范围内投资建设运营基础设施和公用事业并获得收益,提供公共产品或者公共服务。”适用范围为:能源、交通运输、水利、环境保护、市政工程等基础设施和公用事业领域。
在以上政策背景下,本项目采用特许经营模式实施符合当前政策导向,具有政策可行性。
2.2.2 项目采用特许经营模式对投资人具有足够的吸引力
本项目具有投资规模较大、需求长期稳定、市场化程度较高等特点,同时项目吸引投资人,通过智能化升级改造进一步丰富现有资产功能、提升项目收益水平,实现使用者付费方式,适宜采用特许经营模式。由特许经营者专业化经营项目,提高项目效益;特许经营者创新机制灵活,引入专业团队进行运营策划,实现高标准、精细化管理,提升项目整体品质和效益,达到政府和投资人“双赢”。同时,随着监督管理机制和市场经济法则的健全,保证投资人合理收益的同时降低了风险,为投资人开拓了新的投资渠道,可吸引大量的投资人进行投资。
2.2.3 项目采用特许经营模式较为成熟
本项目属于存量公共停车泊位资产盘活兼顾城市公共停车设施升建设项目,属于国家相关部委重点支持盘活的行业领域。根据国家发展改革委发布的盘活存量资产项目试点示范和住房和城乡建设部推广城市停车设施建设参考案例,其中城市公共停车设施采用特许经营模式的项目占比最大。由此可见,本项目采用特许经营模式已较为成熟。
2.2.4 项目采用特许经营模式获得了当地政府部门的支持
近年来,中文博彩平台在借鉴国内其他地区相关经验的基础上,努力探索出一条适合中文博彩平台的盘活存量资产操作及推广模式。在本项目的立项、前期策划和准备等过程中,中文博彩平台高度重视项目的示范性与创新性,在确保项目符合国家、广东省相关政策的前提下,对如何提高项目公共服务效率与质量、充分发挥资金使用效益、提升引领和示范作用等方面,进行了积极探索。一方面通过积极引进有丰富经验的中介服务和智力资源,对项目进行统筹规划,规范指导;另一方面通过广泛调动各利益相关方参与积极性,构筑良性可持续的操作模式。可见,当地政府的高度重视为本项目特许经营模式的实施提供了良好的基础。
第三章 风险分配基本框架
3.1 风险因素识别
特许经营模式周期长、投资大、成本高、风险多且风险后果损失大,风险的辨识与合理分配是成功运用特许经营模式的关键。本项目的风险类型主要有信用风险、政治风险、政策法律风险、金融风险、前期工作风险、设计风险、工程风险、融资风险、运行风险、不可抗力风险及以上各种风险组合所导致的项目风险,常见风险因素列举如下。
1、信用风险
(1)政府信用风险:由于政府方不履行或拒绝履行合同约定的责任和义务而给项目带来的风险。
(2)特许经营者信用风险:由于特许经营者不履行或拒绝履行合同约定的责任和义务而给项目带来的风险。
2、政治风险
(1)政府干预风险:由于地方政府直接干预项目的建设或者运营,影响特许经营者的自主决策能力所造成的风险。
(2)征用及公有化风险:由于中央或地方政府强行没收项目所造成的风险。
(3)公众反对:由于各种原因导致公众利益得不到保护或受损,从而引起公众反对项目建设所造成的风险。
3、法律政策风险
(1)法律及监管体系不完善风险:由于法律、政策体系不完善或者监管体系不完善所造成的风险。如政策相互之间可能存在某些冲突和可操作性差等原因造成的风险。
(2)地方政府可控的法律政策变更:与项目相关的准入政策、程序性政策、税收政策等地方政府可控的法律政策。
(3)地方政府不可控的法律政策变更:指上级政府或国家级政府出台的法律政策变化。
(4)合同文件风险:由于合同文件所造成的风险,如合同文本不规范、合同条款模糊不清或者合同文件冲突等。
4、金融风险
(1)利率变化:市场利率变化带来的成本风险。
(2)通货膨胀:指整体物价水平上升,货币的购买力下降,导致项目成本增加等其他后果。
5、前期工作风险
(1)政府决策与审批延误风险:政府决策审批过程因为决策失误或者审批时间过长造成的风险。
(2)配套基础设施风险:因项目周边水、电等基础设施配套不完善所造成的风险。
(3)停车泊位移交风险:特许经营权涉及停车泊位权属不明晰、车位移交数量、位置没有达到约定的标准或者车位移交时间超出预期所造成的风险。
6、设计风险
因工程设计质量不合理造成施工、运营、维护的损失等。
7、工程风险
(1)工程技术风险:由于技术规范问题或者工程技术使用不当等造成的风险。
(2)工地安全风险:工地安全所造成的风险,如因安全事故发生而导致的损失等。
(3)供应风险:指原材料、资源、机具设备或能源的供应不及时给项目带来损失。
(4)工程变更风险:工程项目的实施过程中,出现设计、工程量、计划进度、使用材料等方面变化的风险。
(5)建设成本超支风险:建设成本超过预定的建设投资所造成的风险。
(6)完工风险:项目工期拖延超过预定目标所造成的风险。
8、资金风险
融资风险:由于融资结构不合理,融资可及性等因素引起的风险。
9、运营风险
(1)项目唯一性:指政府或其他投资人新建或改建其他项目,导致对该项目形成实质性的商业竞争。
(2)运行成本超支风险:运营成本大大高于行业水平所造成的风险。
(3)费用支付风险:由于项目的经营状况或服务提供过程中受其他因素影响,导致用户费用不能按期按量地支付的风险。
(4)收费变更风险:包括由于项目服务收费价格过高、过低或者收费调整不弹性/不自由导致项目运营收入不如预期的风险。
(5)环保风险:由于建设期、运营期环境保护措施不到位等原因引发的风险。
(6)项目移交风险:移交项目没有达到约定的移交标准,影响项目的继续运营等造成的风险。
10、不可抗力风险
不可抗力风险指合同一方无法控制,在签订合同前无法合理防范,情况发生时,又无法回避或克服的事件或情况,包括但不限于地震、台风、洪水、火灾、战争以及其他按国际商业惯例可被接受为不可抗力的事件。
3.2 本项目风险分配分析
3.2.1 风险分配原则
本项目按照风险分配优化、风险收益对等和风险可控等原则,综合考虑政府风险管理能力、项目回报机制和市场风险管理能力等要素,在政府和特许经营者之间合理分配项目风险。
1、最优风险分配原则。在受制于法律约束和公共利益考虑的前提下,风险应分配给能够以最小成本(对政府而言)、最有效管理它的一方承担,并且给予风险承担方选择如何处理和最小化该等风险的权利。最优风险分配原则能降低风险的边际成本,达到项目资金的最佳使用价值。
2、风险收益对等原则。既关注特许经营者对于风险管理成本和风险损失的承担,又尊重其获得与承担风险相匹配的收益水平的权利。
3、风险可控原则。应按项目参与方的财务实力、技术能力、管理能力等因素设定风险损失承担上限,不宜由任何一方承担超过其承受能力的风险,以保证双方合作关系的长期持续稳定。
为了在政府方和特许经营者之间合理分配风险,明确合同当事人之间的权利义务关系,确保本项目顺利实施,风险分配还遵循如下基本原则:
(1)承担风险的一方应该对该风险具有控制力。
(2)承担风险的一方能够将该风险合理转移。
(3)承担风险的一方对于控制该风险有更大的经济利益或动机。
(4)由该方承担该风险最有效率。
(5)如果风险最终发生,承担风险的一方不应将由此产生的费用和损失转移给合同相对方。
3.2.2风险分配机制
考虑上述风险分配原则,本项目主要的风险分配机制如下:
1、项目设计、投融资、建造和运营维护、金融风险等商业风险主要由特许经营者承担;2、法律、政策和停车泊位经营权移交等风险主要由政府承担;3、公众反对及不可抗力等风险由政府和特许经营者合理共担。
3.2.3本项目重点风险因素
分析对本项目而言,较重要的风险因素包括:
1、政策法律风险:主要指当前特许经营领域的法律及监管体系不完善,税收政策、担保政策和适用法律可能出现变化,由此引发的项目风险。在地方政府权力范围内产生的政策法律风险,应由政府方承担。
非政府方原因且不在政府方控制下的政策及法律变更应列为政治不可抗力,如由国家或上级政府实施的政策变更、法律变更引起的风险,由双方共同承担。
2、金融风险:主要指项目建设运营过程中,因利率变化、汇率变化、通货膨胀导致投资收益变化带来的风险,这类风险主要由政府和特许经营者共担,同时应根据项目实际情况进行调整。
3、前期工作、配套设施风险和公共停车泊位移交:指因相关决策、审批程序不到位,或者相关基础配套设施(土地、交通、水电)条件不成熟,停车泊位移交未达到约定标准,导致项目开发运营出现困难。这类风险应主要由政府方承担。
4、设计风险:本项目由特许经营者负责设计工作,主要由特许经营者承担设计风险。
5、工程风险:安全风险、技术风险、供应风险、完工风险等主要由特许经营者承担。
6、融资风险:因为融资结构不合理,融资可及性等因素引起的融资风险,具体表现为无法按进度筹集相应资金,影响工程进度。这类风险应主要由特许经营者承担。
7、不可抗力风险:包括但不限于地震、台风、洪水、火灾、战争等,不可抗力风险一般由双方共同承担。
3.3 本项目风险分配及承担结果
通过综合考量政府方和特许经营者风险管理能力,结合项目实施过程可能面临的各类风险因素的特点,将风险在各方之间进行合理分配,可以有效降低项目总体风险程度,确保项目成功实施。根据上述风险分配原则和机制对本项目面临的风险因素进行分析,本项目风险因素及承担方如下表所示。


从项目风险分配中可知政府方承担的重点风险因素包括政府信用、政府干预、征用及公有化风险、法律及监管体系不完善、地方政府可控的法律政策变更、政府决策与审批延误、配套基础设施、公共停车泊位移交、项目唯一性、收费标准变更。与特许经营者共同承担的风险包括公众反对、地方政府不可控的法律政策变更、合同文件风险、通货膨胀、不可抗力等。
3.4 风险防范及控制
3.4.1 风险防范及控制原则
1、程序合法合规原则
为避免出现程序上违规风险,特许经营项目在全过程推进中应符合国家及当地政府的相关程序规定,从项目立项、识别、准备、公开招标、执行、移交阶段,均应按照政策文件规定得到相关政府部门的批准,不得因为工期原因未批先建。
2、遵循法治原则
项目的成功实施离不开法治和契约精神,特许经营协议及项目经营等文件和程序,要与相关的法律法规和政策、技术规范和标准相匹配,确保合规合法、内容全面、结构合理和具有可操作性。合同体系应明确特许经营范围的界定;明确政府方和特许经营者各自的权利和义务;项目的公开招标程序;合同的修改、特许经营者退出机制以及纠纷处理机制。
3、公开透明原则
合作双方应遵循公开透明的原则,针对项目公开招标、智能化改造和运营的关键环节,明确政府的监管职责,发挥专业机构作用,提高信息公开程度,确保项目的阳光运行。特许经营者应提供真实的运营绩效、项目账目、公司财务报表等数据资料。
4、风险最优分配原则
在受制于法律约束和社会公共利益的前提下,将风险分配给对政府而言能够以最小成本、最有效管理它的一方承担,并给予风险承担方选择如何处理和最小化该类风险的权利。
3.4.2主要风险防范措施
本项目风险因素较多,为避免因风险导致特许经营项目合作遇阻,建议采取如下风险控制:
1、对于双方彼此都不能很好管理的风险,可以考虑在不减损项目经济价值前提下进行商业投保,将项目风险转嫁给第三方;2、在不能如愿找到第三方的情况下,可事先对风险发生后的合同双方彼此的责任和义务予以清晰说明;3、将风险与收益进行对等,如果特许经营者在风险分配过程中主动承担一部分额外风险(如提高共担风险比例),则可提高与之匹配的收益率;如果政府方在风险分配的过程中能主动承担一部分额外的风险(如运营、管理等商业风险),将会提高项目对投资者的吸引力。
根据项目风险分配原则和方案,为防范、规避相应风险,提高项目建设和运营效率,双方应采取相应措施,最终以项目特许经营协议等有关正式文本约定为准。
第四章 项目运作方式
4.1 项目特点
1、兼有存量与改建本项目属于既有资产和改建相结合类项目,宜采用特许经营权转让-建设-运营-移交的运作方式。
2、融资需求本项目融资由特许经营者负责。特许经营者应及时开展融资方案设计、机构接洽、合同签订和融资交割等工作。
3、前期工作的开展实施机构已委托中介机构负责编制本项目可行性论证报告、实施方案、特许经营协议等前期工作,初步设计、环评、施工图设计等前期工作拟委托特许经营者负责。
4、风险分配基本框架具体参见第三章的内容,融资风险、设计风险、建设风险、运营风险主要由特许经营者承担,政策风险、配套设施风险、停车泊位移交主要由政府承担,不可抗力风险、公众反对风险由双方共同承担。
5、项目回报机制本项目提供的停车服务具备向使用者收费的基础。根据《中文博彩平台城市公共停车泊位盘活存量资产项目可行性论证报告》,该部分经营收入足以覆盖项目的投资成本和合理回报,所以采用“使用者付费”回报机制。
6、资产处置方式本项目特许经营期满后,特许经营者将项目无偿、完好地移交给实施机构或政府指定部门。
4.2 相关利益方需求分析
项目采用的运作方式应该尽量符合各相关利益方的关键需求。本项目的主要相关利益方包括政府、特许经营者、公众三方。
4.2.1政府方需求
1、项目的开展合法合规;
2、公平择优选择具有较强抗风险能力和融资实力的特许经营者作为合作伙伴;
3、提供的公共产品及服务优质有效,公众满意度高,价格合理;
4、从具体繁杂的事务中抽身,加强监管职能。
其中对本项目而言,政府方的关键需求在于提升基础设施运营管理水平、合理扩大有效投资以及降低政府债务风险。从政府方的角度考虑,项目宜采用特许经营权转让-建设-运营-移交的运作方式。
4.2.2特许经营者需求
1、具有合理的投资回收期和投资回报率;
2、需要选择具有较强的契约精神的地方政府合作。
特许经营者的核心需求在于一定的投资收益及可控的风险。
4.2.3公众需求
作为项目的最终受益者,公众的需求主要包括:
1、项目能长期提供高质量的公共产品及服务;
2、尽量降低项目产生的不利影响,包括经济、环境、交通等各个方面;
3、项目的运作能长期接受公众监督。
从公众的角度出发,项目的监管架构应足够公开透明。
4.3 本项目采用的运作方式
根据项目实际情况和参与各方的利益诉求,拟引进有实力、有公共停车设施运作经验的投资人参与本项目运作。项目采用特许经营权转让-建设-运营-移交的运作方式:
1、项目实施机构将本项目特许经营权授予给特许经营者,由特许经营者向政府指定单位支付特许经营权转让费。
2、特许经营者获得开发和运营中文博彩平台城市公共停车泊位盘活存量资产项目的特许经营权后,对既有市政道路路内停车泊位进行智能化升级改造,通过项目运营取得经营收入。
3、项目特许经营期满后,特许经营者将项目无偿、完好地移交给实施机构或政府指定部门。
4.4 项目工作界面
本项目前期工作内容及政府和特许经营者之间的具体分工如下:
中文博彩平台交通运输局先行开展项目可行性论证报告、实施方案、资产评估、特许经营协议等前期工作,由县交通运输局支付前期工作费用,具体见附件2前期工作清单。县交通运输局先行完成前期工作的,应将其完成的前期工作成果文件交予特许经营者,特许经营者对成果文件进行登记和保存。
中文博彩平台交通运输局通过公开招标方式选定特许经营者,并与特许经营者签订特许经营协议后授予特许经营权。由特许经营者完成项目立项、勘察、设计、报建手续、融资、施工、组织竣工验收、运营期内项目持续运营以及特许经营期满移交工作。
4.5 项目特许经营范围及期限
4.5.1 项目特许经营范围
中文博彩平台授权项目实施机构,通过公开招标方式确定本项目特许经营者,并与特许经营者签订特许经营协议,约定由特许经营者负责中文博彩平台智慧停车泊位的投融资、智能化改造、运营维护、移交,享有获取收益的权利。
本项目特许经营范围为中文博彩平台市政道路路内停车泊位,共25011个。在本项目特许经营范围内,项目实施机构授予特许经营者对合作区域的经营权系独家的、排他的权利。除非依照特许经营协议约定提前终止的,项目实施机构承诺不擅自收回经营权、不减少经营权的内容、不再将经营权授予任何第三方。
4.5.2项目特许经营期限
综合考虑本项目的行业特点、投资规模、投资回收期等因素,本项目特许经营期限共计为30年,其中建设期预计为2年(2023年8月~2025年7月),项目完成竣工验收后即进入运营期,运营期为28年(2025年8月~2053年7月)。
4.6 特许经营权出让方案
4.6.1特许经营权价格
根据《中文博彩平台交通运输局拟进行公开招标所涉及的中文博彩平台城市公共停车泊位盘活存量资产项目特许经营权价值资产评估报告》,本项目特许经营权价格为¥91000.00万元(大写:人民币玖亿壹仟万元整)。
最终以特许经营者成交价格为准。
4.6.2特许经营权价格支付
特许经营者应在特许经营协议签署后12个月内向实施机构开具的《广东省非税收入一般缴款书(电子)》或《惠州市非税收入缴款通知书》中指定的惠州市非税转账相应账户支付特许经营权价款。具体分期支付时间节点由双方另行协商确定。
逾期未付款的,应从到期应付之日起至实际付款之日止,以未支付的特许经营权价款为基数,按照支付日全国银行间同业拆借中心公布5年期以上LPR计息,按照单利计息。
4.6.3解除权利负担
项目实施机构应在特许经营者支付特许经营权价格之前解除全部特许经营权范围内资产和权利所设定的任何权利负担,包括但不限于收费权质押担保、有形资产抵押担保及其他任何种类的担保权益或其他权利、主张或利益,并向特许经营者提供解除上述所设定的权利负担的相关凭证供特许经营者审核确认。
项目实施机构应保证特许经营权涉及资产建设手续完整合法。
4.6.4特许经营权移交
本项目特许经营范围为中文博彩平台市政道路路内停车泊位,共25011个。特许经营协议的签署就是特许经营权进行移交,车位具体分布情况即是交接清单。特许经营者可在施工建设过程中对以上停车泊位进行核对,若出现数量不够的情况,可以书面方式向项目实施机构进行申请,项目实施机构需在收到书面申请后给出解决方案,确保本项目公共停车泊位不少于25011个。
第五章 交易结构
5.1 项目投融资结构
5.1.1项目交易结构概述
依据项目特点、融资安排、运作方式等,本项目交易结构概述如下:
1、中文博彩平台授权中文博彩平台交通运输局为本项目实施机构,负责项目前期准备、公开招标方式确定特许经营者、合同签订、建设监管、验收、运维期绩效考核、移交管理等工作。
2、实施机构通过公开招标方式选定特许经营者,并与特许经营者签订特许经营协议。
3、特许经营者向金融机构申请融资,并在规定的时间内向政府指定单位支付特许经营权转让费。
4、特许经营者负责对中文博彩平台既有市政道路路内停车泊位进行智能化升级改造;建成后,对项目进行运营维护并取得经营收入,依融资协议约定向融资机构还本付息。
5、项目在特许经营期结束后,按相关规定由特许经营者将相关设施无偿移交实施机构或政府指定机构,相关机构承担并做好移交工作。
本项目交易结构具体如图5.1-1所示。

5.1.2融资结构
本项目估算总投资为112628.49万元,项目资金来源包括项目资本金和债务融资两大部分。
1、项目资本金
根据《国务院关于调整和完善固定资产投资项目资本金制度的通知》(国发〔2015〕51号)以及《国务院关于加强固定资产投资项目资本金管理的通知》(国发〔2019〕26号)的要求,本项目资本金比例按20.09%考虑,即22628.49万元。本项目所需资本金全部由特
许经营者自筹解决。
项目资本金可根据工程建设进度逐步缴纳到位,但不得影响项目融资进度、项目建设进度。特许经营者不得以债务性资金充当项目资本金,不得虚假出资或出资不实。
2、债务融资
本项目债务融资占总投资的79.91%,约90000.00万元。特许经营者可采用各种融资方式筹措资金,以解决总投资和项目资本金之间的差额。本方案暂按金融机构贷款计算。

5.1.3 融资安排
本项目建议采用项目融资,出于本项目融资的目的,特许经营者可将项目协议项下的预期收益权设置质押担保权益进行融资,或进行结构化融资。政府方不为项目融资提供各种形式的担保、还款承诺。
在特许经营期满至少5个月前,特许经营者应负责解除和清偿本项目中的任何债务、留置权、抵押、质押及其他请求权(政府方同意保留的除外)。
5.2 资产形成、权属及移交
5.2.1资产形成
资产形成包括固定资产形成和无形资产形成。
1、固定资产形成
固定资产形成为项目升级改造形成的相关配套设施。主要包括建筑安装工程费用、设备购置费、工程建设其他费用和预备费投资形成的非货币性资产,全部为固定资产。
2、无形资产形成
本项目特许经营期内无形资产主要包括特许经营者取得本项目特许经营权形成的无形资产以及运营期申报或购买的专利权、非专利技术。
5.2.2项目资产权属
1、资产确认原则
资产权属通常有两种处置方式,即建设期内投资建设形成的项目资产,以及项目运营维护期内因更新重置或升级改造投资形成的项目资产,一般按照特许经营者是否拥有项目土地使用权来确定。
如果特许经营者享有项目的土地使用权,则特许经营者相应拥有项目房屋、设施或资产的所有权;如果政府方仅是将相应的土地提供给特许经营者使用的方式,则特许经营者不享有相应的土地使用权,也无法标记对项目房屋、设施、资产的权属。
2、政府方资产权属的确认
本项目所占土地为政府提供,土地使用权归政府所有,因此本类资产形成时直接归属政府所有。特许经营者无固定资产权属。
项目前期工作相关资料,由实施机构通过一定程序移交给特许经营者,以便于特许经营者了解项目情况,更好建设与运营。
项目特许经营期结束后,所有项目其他相关设施资产全部无偿移交给项目实施机构或政府指定的其他机构。项目所有资料,包括前期工作相关资料、建设期相关资料以及运营期相关资料等也应由特许经营者移交给政府方,以使后续运营者能直接接手项目运营。
3、特许经营者资产权属的确认
(1)项目建设及完工验收
特许经营者无法拥有建造的设施的所有权、控制权,且本项目的停车泊位智能化改造要求特许经营者自行建造。特许经营者形成的无形资产确认由国税及相关部门决定。
(2)运营维护期
对于运营维护阶段的常规维修和日常维护支出,属于待执行性质,需在发生时确认。发生时,在确定合同总对价的公允价值后,确认为无形资产。
5.3 项目回报机制
本项目为特许经营项目,政府方向乙方授予开发运营公共停车泊位存量资产盘活项目的特许经营权,乙方向政府指定单位支付特许经营权使用费。取得特许经营经营权后,本项目提供的停车服务具备向使用者收费的基础。根据《中文博彩平台城市公共停车泊位盘活存量资产项目可行性论证报告》,该部分经营收入足以覆盖项目的投资成本和合理回报,所以本项目属于“使用者付费”项目。
5.4 绩效考核机制
本项目绩效考核机制建议分为建设期绩效考核和运营期绩效考核,最终以特许经营协议约定为准。
5.4.1建设期绩效考核
项目各参与方应按照国家、行业、广东省、惠州市、中文博彩平台的相应工程验收规范、特许经营协议及其补充合同的约定办理竣工验收手续,确保本项目验收合格。
1、本项目的工程建设验收,由实施机构、特许经营者、施工单位、监理单位、设计单位及其他工程建设参与单位和相关职能部门共同组织实施,中文博彩平台建设工程质量监督机构实施监督。
2、若国家、省、市、县(区)出台具体考核办法或新的相关规定,则上述中与之不一致的或未作约定的或约定不明的,以国家、省、市、县(区)出台标准为准进行调整并执行。在考核中,可根据实施机构、相关主管部门要求以及合作双方协商结果,按照实际需要进行调整。
3、项目建设应至少达到工程验收标准,包括各专项验收和工程整体验收。项目因工程质量问题导致无法完成竣工验收,应由特许经营者进行整改,直至达到竣工验收标准。
4、项目建设期绩效考核标准详见附表2。依据表中评分标准,对项目整个建设期的绩效考核打分,总分数在80分(暂定,可在谈判阶段调整)以下,特许经营者建设期履约保函扣减额=(1-(考核期绩效考核评分÷80)×100%)×特许经营者建设期履约保函。当计算扣减额大于保证金金额,保证金全额扣除。
本项目建设期绩效考核表详见附件2。建设期绩效考核表为本方案暂定考核表,在特许经营协议签订前可根据双方谈判进一步详细约定。
5.4.2运营期绩效考核
1、运营期绩效考核方法
本项目的运营养护主要是对项目进行检查与观测、日常运营维护,维持、恢复原有工程面貌,以保持工程及相关设施的正常使用功能。
运维期内,项目实施机构组织实施开展绩效考核,考核采用定期考核和不定期抽查相结合的方式,建议以一年作为一个考核周期,不定期抽查时间不确定,可任意时间段抽查项目实际运行情况,考核现场即时进行考核登记,相关扣分在一个考核周期内累计。每次考核需特许经营者相关负责人签字确认。
具体考核标准详见附件3运营期绩效考核标准表。
2、运营期绩效考核系数
运营期特许经营者运营维护内容、运营期绩效考核标准和评分设置应以特许经营协议及其补充合同的约定为准。运营期绩效考核评分计算如下:
每次运营期绩效考核按照特许经营协议约定进行评分,并根据按照评分表加总进行评分。
并按如下方式计算得到绩效考核系数K:
(1)100分>考核期综合绩效考核评分≥80分,则绩效考核系数K为100%;(2)80分>考核期综合绩效考核评分≥60分,则绩效考核系数K=(考核期综合绩效考核评分÷80)×100%;(3)考核期综合绩效考核评分<60分的,则当期绩效考核系数K为0%。
3、关于考核标准的调整
因本项目运营期周期较长,达28年之久,期间可能发生经营范围改变、相关标准改变、新工艺出现等不可预测情形发生,为保障运营期考核标准的合理性和公平性,在谈判阶段双方可对本考核方案进行调整,双方同意后执行。特许经营期间,每三年(新标准导致必须调整的不受时间限制)特许经营者可提出调整申请,若该调整方案合理,有利于提供更高效、更优质的管理服务的,实施机构应予以准许。
4、运营期绩效考核与项目经营收入
本项目运营期最终绩效考核系数与项目经营收入有关,根据绩效考核结果,实施机构有权从运营期保证金中扣减。
特许经营者每年运营期保证金扣减额=(1-运营期绩效考核系数K)×项目年经营收入×5%。当计算扣减额大于保证金金额,保证金全额扣除。
具体的绩效考核指标可根据项目实际情况进行确定和调整,最终按照双方盖章认可的绩效考核标准执行。
5.4.3绩效考核异议的处理
若特许经营者对考核结果有异议,可在考核结果出台后的三个工作日内向实施机构提起申诉,由双方共同聘请的第三方机构重新进行考核,第三方机构出具的考核结果为最终结果,聘请第三方机构的费用由特许经营者承担;对于特许经营者怠于或延误修复缺陷的,实施机构可根据特许经营协议相关约定提取特许经营者提交的运营维护期保证金中的相应金额。
5.5 价格调整机制
5.5.1调价程序
在运营期内因特许经营者维护成本增加等原因,特许经营者可向政府主管部门提出调价申请,最终以调整后价格收取服务费。调价日为第调价年的第一个运营日,双方按照调价公式对停车收费标准进行调整,且下一个调价日到达之前,停车收费标准维持上一次确定的价格不变,调价程序如下:
1、特许经营者应提前向实施机构提出调价书面申请;2、实施机构收到书面申请后,开始评审调价申请,如无异议,由其报送相关主管部门审批;3、在主管部门审批通过与调整价格确定后,于调价日正式生效。
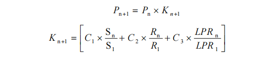
5.5.2调价公式
调价公式综合考虑行业平均工资(S)、居民消费价格总指数(CPI)、贷款利率(LPR)和其他不影响调价的因素。当调价公式中K的系数介于95%至105%之间时(含等于),即95%<K≤105%,不予调整,K统一取值为1;当调价公式中K的系数小于等于95%或大于105%时,即K≤95%或K>105%时,启动调价程序。公式如下:

其中:
Pn、Pn+1为执行调价后的第 n 年、第 n+1 年的停车收费标准;
C1:为正常运行条件下的人工工资占运营成本的比例;
C2:为正常运行条件下,除人工以外的其他运营成本占运营成本 的比例;
C3:为其他不影响调价的因素,C3=1-C1-C2;
以上C1-C3各参数,政府方有权于运营期内组织审核,根据各影响因素在单位运营成本中所占比例,重新确定以上C1-C3各参数;
Sn、S1分别为执行首次定价/调价后的第n年、第1年的中文博彩平台统计局公布的全市在岗职工年平均人工工资;
Rn、R1分别为首次定价/执行调价后的第n年、第1年由中文博彩平台统计局公布原材料、燃料和动力购进价格指数,若中文博彩平台统计局没有相关统计数据,则采用广东省统计局或国家统计局公布的同期数据;
LPRn、LPR1为在首次定价/执行调价后第n年、第1年的五年期以上LPR(即上次调价年采用的五年期以上LPR与本次调价年中国人民银行最新公布的五年期以上LPR);
5.6 特许经营者退出机制
5.6.1特许经营期满的退出
项目所有资产在特许经营期满后,由特许经营者向项目实施机构无偿移交。至此,特许经营者完全退出,项目所有权益全部归属项目实施机构。
5.6.2合同提前终止的退出
在以下情形下,项目可提前终止:
1、一方违约导致的提前终止;
2、法律变更或宏观政策导致的提前终止;
3、不可抗力导致的提前终止。
若特许经营协议提前终止,则除非协议另有约定,政府方仅在如下情形时支付特许经营者合理补偿金(提前终止时项目实施机构对于特许经营者的补偿须以特许经营者还清项目届时之所有负债为前提),补偿金具体按下表确定:

A1为特许经营者已投入但尚未收回的投入(含特许经营权转让费、建设投入等,以经政府审计的为准);
A2为特许经营者的建设投入与特许经营权余值之和,以经政府审计的为准;
A3为经政府审计的项目账面资产净值;
B为违约金金额,取值由甲乙双方谈判共同确定;
当发生特许经营者违约而导致政府发出终止的情形时,对于向特许经营者支付的终止补偿金,项目实施机构有权自本项目提前终止日起算三年内(如剩余特许经营期短于三年的,则本处指余下的特许经营期)分期分批支付。具体分批次的支付比例及时间进度安排由项目实施机构确定。
C为发生不可抗力情形时,根据本项目的协议及相关保险合同约定,特许经营者(含贷款方)实际获得的保险赔款;
D为发生不可抗力情形时,因特许经营者投保不足,导致所获保险赔款无法使项目设施恢复到出险前的正常状态和价值的恢复性建设费用缺额部分(如有);
E为终止后根据本协议的约定,特许经营者应向项目实施机构或政府指定的其他机构移交运维所需工器具、备品配件和药品的合理评估值。
若属政府发出的终止情形之一的,按照对应公式计算终止补偿金即“A1-B+E”或者“A2-80%B+E”的值为负数;或者不可抗力导致终止,按照对应公式计算终止补偿金即“(A3-C-D)/2”的值为负值的;则 上述两种情况下特许经营者应向项目实施机构支付本条所述负数的 绝对值。
5.7 调整衔接边界
5.7.1应急处置
特许经营者应针对自然灾害、重特大事故、环境公害、群体性事件以及人为破坏等事件的发生等各类可能发生的事故和所有危险源制定应急预案和现场处置方案,明确事前、事中、事后的各个过程中相关部门和有关人员的职责。应急预案应报实施机构备案。
因自然灾害、突发事件引发,正在或即将发生严重危害,以及存在严重安全隐患或环境污染,必须立即采取应对的工程,或灾害过后需要在短期内完成的工程,由特许经营者组织实施。
5.7.2临时接管
特许经营期内,如特许经营者出现以下违约行为,实施机构应自行或指定其他机构实施临时接管:
1、不按照特许经营协议的约定提供服务,严重影响公众利益的;
2、擅自转让、出租特许经营权的;
3、擅自停业、歇业,严重影响公共利益和公共安全的;
4、擅自将所经营的财产进行处置或者抵押的;
5、因管理不善,发生重大质量、安全生产事故的;
6、因经营管理不善等原因,造成财务状况严重恶化,危及公用事业的;
7、法律法规、规章等禁止的其他行为。
临时接管项目所产生的一切费用,由特许经营者承担,收入归接管方所有。
特许经营者纠正引致临时接管的违约行为后,经特许经营者书面申请,政府方应当终止临时接管,恢复特许经营者的特许经营权,项目特许经营期不变。
特许经营者未在合理期限内纠正引致临时接管的违约行为,则视为其放弃特许经营权,特许经营合同自动提前终止。
5.7.3合同修订
在下列情形下,可以对特许经营协议进行临时修订:
(1)适用法律的变化,影响任一方主要权利义务的;
(2)国家、行业及地方有关建设、运维方面的标准提高;
(3)因不可抗力或非因协议任一方的原因,导致协议部分条款无法履行;
(4)一方当事人丧失履约能力;
(5)因情况发生变化,当事人双方协商一致同意。
上述修订,经双方法定代表人或授权代表签字并盖章方可生效;若修订的为实质性条款,经中文博彩平台批准后方可修订。
5.7.4争议解决
特许经营者与实施机构发生争议的,提出争议一方应首先通过友好协商方式解决,解决不成的,可以共同聘请专家、第三方机构、其他政府机构进行调解。调解不成的,任何一方可向有管辖权的机构申请解决。
特许经营者认为行政机关作出的具体行政行为侵犯其合法权益的,有陈述、申辩的权利,并可以依法提起行政复议或者行政诉讼。
特许经营协议存续期间发生争议,当事各方在争议解决过程中,应当继续履行特许经营协议义务,保证公共产品或公共服务的持续性和稳定性。
5.8 政府承诺和保障
5.8.1实施机构已取得中文博彩平台授权
根据《基础设施和公用事业特许经营管理办法》(2015年第25号令)第十四条,县级以上人民政府应当授权有关部门或单位作为实施机构负责特许经营项目有关实施工作,并明确具体授权范围。
本项目实施机构惠州市中文博彩平台交通运输局已取得惠州市中文博彩平台授权。
5.8.2特许经营权授予
项目实施机构承诺,将中文博彩平台城市公共停车泊位盘活存量资产项目的特许经营权授予范围内市政道路路内停车泊位提供给特许经营者使用。如在特许经营范围提供的车位少于约定数量,按“原规格、缺多少、补多少”原则双方协商补足停车位。如不能补足车位,应按成交价格对特许经营权价格进行退补。
5.8.3公平调解
特许经营者与实施机构发生争议的,提出争议一方应首先通过友好协商方式解决,解决不成的,可以共同聘请专家、第三方机构、其他政府机构进行调解。调解不成的,任何一方可向有管辖权的机构申请解决。
5.9 相关配套安排
5.9.1项目用地
本项目特许经营者在完成资产移交后,按原用途使用移交资产的土地。若后续改扩建涉及新增建设用地、用海等,特许经营者应按法定程序经有关部门批准,项目实施机构应当协调各相关部门予以必要的协助和配合。
未经政府方同意,特许经营者不得以转租、转让的方式处置其所取得的土地相关权益。
5.9.2其他配套
本项目除项目用地之外的其他配套设施安排如下:
1、公共设施配套,本项目的公共设施可用现有已建成的市政公共设施,项目用地周边供水、电、通讯、信息网等设施能满足项目建设需求;
2、交通配套,本项目交通较为便利,能够满足施工条件;
3、施工条件,项目周围交通便利,各种建筑材料均能供应,且施工用水、用电都能得到保障,无较大阻碍因素存在。
4、项目运营维护期间涉及的供水、排水、电力、通信等由特许经营者负责,政府协调和配合。
5、特许经营者在项目设施的管理、维护和建设过程中,需占用公共绿地、城市道路及其他公共设施时,应按规定报经有关部门批准,项目实施机构应当协调各相关部门予以必要的协助和配合。占用结束后,特许经营者应当将占用或动用的设施恢复原状(市政道路路内停车泊位应将停车泊位以外的路面进行原状恢复),并依照有关收费标准承担相关的占用费用。
第六章 合同体系
合同体系主要为特许经营协议,本章节为特许经营协议主要框架, 相关内容经合同双方协商后应在特许经营协议中明确。
6.1 特许经营协议基本要点
合同主体:本项目特许经营协议由实施机构与特许经营者两方签署。
项目授权:实施机构通过和特许经营者签署特许经营协议的方式授予特许经营者投资、智能化改造、运营等相关权利。
业务范围:由特许经营者具体负责中文博彩平台城市公共停车泊位盘活存量资产项目的投资、融资、建设及运营维护。
特许经营权:指中文博彩平台城市公共停车泊位盘活存量资产项目所涉及的停车泊位资源的特许经营权。
其他相关的附属协议:贷款协议、工程总承包协议、运营维护服务合同等由特许经营者与相关的单位签订。
6.2 各方的一般义务
1、实施机构的一般义务
(1)实施机构,即中文博彩平台交通运输局作为中文博彩平台的授权单位,代表中文博彩平台政府行使权力并负有配合特许经营者运营工作的义务,如出现机构调整或编制撤销等情况,中文博彩平台应及时指定新的授权部门;
(2)实施机构应协助特许经营者及时获得本项目相关的许可或批准,包括但不限于施工许可证、申请省乃至国家部委试点项目、相关税收和其他优惠政策等。
(3)按照特许经营协议的约定履行合同,保证本项目在服务范围内的独占性、排他性。
(4)实施机构应在合同签订后牵头县物价主管部门以及相关职能部门落实项目收费方案。
(5)特许经营者因承担政府公益性任务造成经济损失的,实施机构应协助其获得相应的经济补偿。
2、特许经营者的一般义务:
(1)按照特许经营协议的约定进行项目投资建设及运营维护;
(2)在特许经营期限内严格按法律及特许经营协议规定进行运营,并确保项目达到本协议约定的标准;
(3)接受政府方和其他相关机构的监管;
(4)遵守和执行相关安全、环保标准;
(5)按各级政府颁布的法律和法规缴纳所有税金及收费等;
(6)如未来政府方利用本项目申请国家专项资金的,特许经营者应尽最大努力提供协助。
6.3项目特许经营期限
本项目特许经营期限共计为30年,从特许经营协议生效之日起算。其中建设期2年,从协议生效之日起计算;运营期28年,自约定建设期结束次日起至特许经营期结束之日止。
6.4项目融资
特许经营协议中有关项目融资的规定,通常包括特许经营者的融资权利和义务、融资方权利以及再融资等内容。
本项目要求项目资本金比例不低于总投资的20%。投资总额和项目资本金的差额由特许经营者通过资产证券化、股东借款、银行贷款等多种方式予以解决。政府方及实施机构不为项目融资提供各种形式的担保、还款承诺。
特许经营者可以且仅可以为本项目融资之目的,将其在特许经营协议项下的各项权益(如项目的预期收益权、保险受益权等)之上设置质押或以其他方式设置担保权益。
6.5项目用地
本项目特许经营者在完成现有资产移交后,按原用途使用移交资产的土地。特许经营者不得以转租、转让的方式处置其所取得的土地相关权益。
6.6项目的建设
本项目车位的智能化改造由特许经营者负责,特许经营协议中应详细描述项目施工工作的范围、质量要求、改造要求、相关责任、项目实施机构对项目建设的监督、竣工验收要求等内容。
项目对不同区域车位进行智能化改造建设,当按合同要求建成并具有独立使用价值时,按国家及省、市、县(区)有关规定进行验收。
竣工验收的内容和程序应按有关规定执行。
6.7项目的运营和维护
项目约定建设期满后即进入运营期。
特许经营者应在特许经营协议生效后、开始运营日之前编制项目运营及维护方案并提交实施机构审核,实施机构有权根据相关法律法规及政策要求对该方案提出合理意见,特许经营者予以采纳。运营方案中应至少包括项目运营期计划内的维护、修理和更换的时间以及费用,还有上述维护、修理和更换可能对项目运营产生的影响等内容。
特许经营期内,特许经营者有义务遵循实施机构及政府方要求,在项目运营过程中保障项目公益性功能,其他约定双方另行协商。
6.8环境保护责任
在特许经营协议中应明确规定项目的建设运营所遵守的环保标准和应履行的环境保护责任。
本项目的环境保护责任主要由特许经营者承担,主要包括:
1、按照有关环保要求,建设相应的环保设施并采取环境污染防治措施,确保项目建设、运营期间产生的废水、固体废弃物以及噪声等满足相应的环保标准;2、遵守有关公共卫生和安全生产等法律法规的规定;3、在项目的建设、运营期间应采取一切合理的措施尽量减少对项目设施周围建筑物和居民区的干扰。
6.9应急处理
项目特许经营期内,特许经营者应按照适用法律制定应急管理预案。运营中发生突发紧急事件时,项目应当依据应急管理预案和有关政府部门要求进行处理,并按照适用法律规定及时向中文博彩平台和有关政府部门报告。
6.10付费机制
付费机制关系特许经营项目的风险分配和收益回报,是特许经营协议中的核心条款。
本项目的付费机制为使用者付费模式,绩效考核机制详见第五章。
6.11履约担保
为确保特许经营者在建设期能够按照合同约定的标准进行建设,并且能够按时完工,特许经营者应在签署《特许经营协议》同时提交200万元的建设期履约保函,该保函的有效期从特许经营协议生效之日起到竣工验收完成且特许经营者递交运营维护保函后。
项目进入运营期后,为了确保特许经营者在运营维护期内按照项目合同的约定履行运营、维护义务,特许经营者应在建设期履约保函退还之前提供200万元的运营维护期履约保函,运营维护期履约保函有效期至特许经营者提交移交期履约保函之日止。
本项目特许经营期结束日之日起12个月前,特许经营者应向政府方提交中国境内金融机构出具的以实施机构作为受益人的移交期履约保函,保函金额为200万元,以保证特许经营者履行本合同项下提供移交维护项目设施的义务,该保函的有效期至项目移交程序结束后满12个月为止。
以上保函为独立保函,见索即付。在项目特许经营期内,如果特许经营者未能履行项目协议中规定的义务,政府方有权根据特许经营协议兑取建设期或运营维护保函。
6.12保险
特许经营期内,特许经营者必须自费购买和维持适用法律所要求的保险。
本项目强制保险内容主要包含:
1、建设期应投保险种:(1)建筑工程一切险和安装工程一切险;(2)第三者责任险。
2、运营期应投保险种:(1)财产一切险;(2)第三者责任险。
除本条所述强制险种外,特许经营者应根据谨慎运营惯例购买相应的险种。保险受益人为特许经营者,可根据需要考虑政府或金融机构。
6.13政府方的监督和介入
特许经营协议中关于政府方的监督和介入机制,通常包括政府方在项目实施过程中的监督权以及政府方在特定情形下对项目的介入权两部分内容。
在不影响项目正常实施的前提下,政府方享有合理的监督权和介入权,监督权包括对项目建设期和运营维护期的知情权、进场检查和测试权以及对承包商和分包商选择的监控权,介入权包括涉及人身安全、财产安全、环境安全、发生紧急情况、特许经营者违约等情况下政府方合理介入的权利。
6.14违约、提前终止、退出及终止后处理机制
违约和提前终止条款是特许经营协议中的重要条款之一,通常会规定违约事件、终止事由以及终止后的处理机制等内容。
项目特许经营期内,如果发生不可抗力、特许经营者严重违约事件或者实施机构严重违约事件,守约方可向对方提出合同终止意向并就此进行协商。双方在一定时间内协商一致,则双方应继续履行特许经营协议,否则项目实施机构要及时做好接管,保障项目设施持续运行。守约方可以向对方提出合同终止,违约方应根据合同相关条款约定给予守约方相应补偿。
6.15项目的移交
项目移交通常是指在项目特许经营期限结束或者项目特许经营协议提前终止后,特许经营者将全部项目设施及相关权益以合同约定的条件和程序移交给政府或者政府指定的其他机构。
本项目的移交范围包括项目设施及相关的设备、机器、装置、零部件、备用件及其他动产、项目实施相关人员、运营维护项目设施所要求的技术和技术信息、与项目设施有关的手册、图纸、文件和资料以及其他移交所需的文件。项目移交时,项目设施及所涉及的任何资产不应存在权利瑕疵,同时项目设施应符合双方约定的技术、安全和环保标准,在不再维修情况下项目可以正常运营12个月,否则政府方可根据损失向特许经营者提出合理的补偿。
6.16争议的解决
若双方对于由于本合同条款或与本合同有关的条款的解释,包括关于其存在、有效或终止的任何问题产生任何争议、分歧或索赔,则应尽力通过协商友好解决该争议、分歧或索赔。协议双方存在无法通过协商或调解方式解决争议的情况下,任何一方可向有管辖权的机构申请解决。
6.17合同附件
本项目特许经营协议附件可包括:建设期履约保函格式,运营维护期保证金格式,移交保证金格式,运营维护方案,绩效考核方案等。
第七章 监管架构
7.1 授权关系
第一层授权:中文博彩平台授权中文博彩平台交通运输局作为实施机构,负责本项目与特许经营者合作的有关事宜。
第二层授权:中文博彩平台交通运输局授权特许经营者在特许经营期内负责本项目的设计、投融资、建设、运营维护,并接受公众、政府及其代表的监督。
7.2 监管体系
本项目由履约管理、行政监管(政府监管)、公众监督构成了全方位的监管体系,参见图 7.2-1。

监管体系可简述如下:
1、中文博彩平台交通运输局和特许经营者签订特许经营协议,约定履约担保机制,通过履约管理对特许经营者进行全程监督;
2、政府方通过直接行使监督权、聘请第三方机构等方式对特许经营者的建设、运营等合同履行情况进行监督;
3、通过信息公开和披露,公众可以全程了解本项目信息,监督本项目实施,积极反映相关问题和意见。
7.3监管方式
本项目的监管方式包括:履约管理、行政监管、公众监督。
7.3.1履约管理
履约管理的核心在于合约制定和合约履行两个部分,合约制定应当遵循一定的原则,同时应制定履约担保机制保障合约履行。
1、合同制定原则特许经营协议应遵循以下原则:
(1)依法治理。在依法治国、依法行政的框架下,充分发挥市场在资源配置中的决定性作用,允许政府和特许经营者依法自由选择合作伙伴,充分尊重双方在合同订立和履行过程中的契约自由,依法保护特许经营项目各参与方的合法权益,共同维护法律权威和公平正义。
(2)维护公益。建立履约管理、行政监管和公众社会监督“四位一体”的监管架构,优先保障公共安全和公共利益。特许经营协议中除应规定特许经营者的绩效监测和质量控制等义务外,还应保证政府方合理的监督权和介入权,以加强对特许经营者的履约管理。与此同时,政府还应依法严格履行行政管理职能,建立健全及时有效的项目信息公开和公众监督机制。
(3)诚实守信。政府和特许经营者应在特许经营协议中明确界定双方在项目融资、建设、运营、移交等全生命周期内的权利义务,并在合同管理的全过程中真实表达意思表示,认真恪守合同约定,妥善履行合同义务,依法承担违约责任。
(4)兼顾灵活。鉴于特许经营项目的生命周期通常较长,在合同订立时既要充分考虑项目全生命周期内的实际需求,保证合同内容的完整性和相对稳定性,也要合理设置一些关于期限变更(展期和提前终止)、内容变更(产出标准调整等)、主体变更(合同转让)的灵活调整机制,为未来的合同执行期预留调整和变更空间。
2、合约履行
在本项目特许经营期内,政府方有权对特许经营者的特许经营协议及相关合同的履行情况进行监督管理,主要包括以下方面:
(1)质量与安全监管,包括政府方可以进场监督、检查项目设施的建设、运营和维护状况;按照特许经营协议约定的绩效评价标准,定期对特许经营者进行绩效评价等;
(2)收费与成本费用监管,包括特许经营者应如实向项目实施机构提交服务内容和收费标准、年度财务报告等财务资料;
(3)合法合规监管,包括特许经营者应按照特许经营协议的约定就经营许可、行政审批、采购、保险、产品服务合同等相关文件向政府方备案;
(4)合同违约监管,包括特许经营者应按照特许经营协议中约定的条文行使相应的权利和义务,不得随意擅自终止履约等行为的监管。
3、履约保函体系为了确保特许经营者能够按照特许经营协议约定履约,政府通常会希望特许经营者或其承包商、分包商就其履约义务提供一定的担保。
履约担保方式通常包括履约保证金、履约保函以及其他形式的保证等。
最为常见、有效的履约担保方式是保函。
本项目设置由投标保函、建设保函、运营维护保函和移交维护保函构成的履约保函体系,确保合约顺利履行。

3、履约保函触发及退还机制
(1)投标保函的触发及退还发生以下情形时,实施机构可以没收投标保函:投标截止后投标人撤销投标文件的;特许经营者无正当理由不与实施机构订立合同的;在签订合同时向实施机构提出附加条件的;不按照招标文件要求提交履约保证金的;以及国家相关法律法规规定的不予退还投标保函的其他情形。
未中标投资人的投标保函在公示期结束后即可退还;特许经营者的投标保函需在项目合同签订,且已提交建设履约保函之后退还。
(2)建设履约保函的触发及退还
特许经营者在建设期未能履行特许经营协议约定的情形时,如出现重大安全责任事故、严重工程质量缺陷导致无法进行竣工验收、由于特许经营者原因导致工程无法按期竣工影响工程使用的情形等,实施机构可选择提取部分或全部合同项下建设履约保函。
在本项目工程项目完工投入使用并完成竣工验收手续后,则可视为特许经营者已履行建设期义务,同时运营维护保函已经提交的情况下,项目实施机构应退还特许经营者的建设履约保函。
(3)运营维护保函的触发及退还
特许经营者在运营期未能履行项目合同约定的情形时,如运营绩效考核严重不良(绩效考核评分<60即达到严重不良),影响工程质量,造成一定社会影响等,实施机构可选择提取部分或全部合同项下运营维护保函。
进入移交过渡期(合作期满终止日之前12个月),且特许经营者提交移交维护保函之后,实施机构应退还特许经营者的运营维护保函。
(4)移交维护保函的触发及退还
特许经营者在移交过渡期(特许经营期满终止日之前第12个月至特许经营期满终止日之后第12个月)未能履行特许经营协议约定的情形时,如重大工程质量缺陷无法修复或拒绝修复的,存在重大隐蔽性缺陷的情形等,实施机构可选择提取部分或全部合同项下移交维护保函。
项目特许经营期满终止日之后第12个月,实施机构应退还特许经营者移交维护保函。
7.3.2行政监管
1、监管部门中文博彩平台交通运输局、县发展和改革局、中文博彩平台公安局(交警大队)、县财政局、县住房和城乡建设局、县自然资源局等行业主管部门,从部门职责角度考虑,对项目的固定资产投资建设立项、特许经营者的进入、运营、移交进行监管,主要行政监管部门的具体职责如下:
县交通运输局:作为项目实施机构,一方面要负责与承接单位签订特许经营项目合同,并行使部门监督职责。在运营期对项目进行绩效考核;移交阶段通过移交标准、移交方案对项目进行监管。
县发展和改革局:在建设期,负责指导项目备案,履行固定资产投资监管职责。在运营期,负责需依法实行政府定价的停车收费项目进行管理,并履行监督职责。
中文博彩平台公安局(交警大队):负责引导公众车辆使用智慧停车泊位,负责停车场的备案和管理、道路停车泊位的划设和调整和其他需要监督的工作。
县财政局:负责落实相关经费,做好转让价款的后续使用工作。
负责收取特许经营权费用工作;项目移交阶段费用审核。
县住房和城乡建设局:在建设期,按合同规定进行监管,负责核发项目建设工程施工许可证,负责项目建设过程中初步设计审查、施工图审查以及建设手续审批。
县生态环境保护局:停车泊位改造涉及环评审批,县生态环境分局配合相应审批流程,并对项目方是否落实环评审批要求进行监管。
县审计局:依法对项目执行情况进行审计监督。
县司法局:根据职责对涉及县政府决策事项提供法律支持和司法监督。
县应急管理局:项目前期指导特许经营者做好安全生产管理及应急预案工作,统筹开展项目安全评价及报批工作。对项目建设、运营期和移交期的突发性事件进行监管,或对政府重点关注领域进行阶段性监管。
以上为主要职能部门监管职责,在项目实施过程中,监管部门具体职责按政府相关文件界定。
2、监管内容
在项目全生命周期的不同阶段,各阶段的监管内容如下:
(1)项目前期行政监管在项目前期行政监管部门监管内容主要包括:固定资产投资建设立项;对竞投过程选择特许经营者的监管;对特许经营协议内容及其签订过程的监管等。
(2)项目建设期行政监管部门监管内容主要包括:工程进度、建设质量和资金;施工、监理单位及其工作;工程资金计划和使用情况;施工过程合法合规性;施工安全;项目验收过程中的监管等。
(3)项目运营期在运营期行政监管部门的监管主要体现在:对本项目运营质量的监管、安全生产监督、对运营期绩效考核的监管等。
(4)项目移交阶段行政监管部门的监管主要体现在:项目移交阶段合同执行情况的监管、项目移交时工程质量的监管等。
7.3.3公众监督
公众监督是本项目监管的重要一环,贯穿于项目实施的各个阶段。
项目前期工作中,环境影响评价、政府招标选择特许经营者等工作,均应按照相关法律规定进行公示。项目运营期,公众应对项目运营管理进行监督,并适度参与到项目的绩效评价工作中,运营维护绩效评价结果应对外公开,保证绩效评价工作的透明度。
第八章 特许经营者选择
8.1 常见特许经营者选择方式
8.1.1 主要方式
根据《基础设施和公用事业特许经营管理办法》(2015年第25号令)第十五条:“实施机构根据经审定的特许经营项目实施方案,应当通过招标、竞争性谈判等竞争方式选择特许经营者。”根据《中华人民共和国招标投标法》第十条,招标分为公开招标和邀请招标。公开招标,是指招标人以招标公告的方式邀请不特定的法人或者其他组织投标。邀请招标,是指招标人以投标邀请书的方式邀请特定的法人或者其他组织投标。
因此,在特许经营者的选择方式中,公开招标、邀请招标属于招标方式。竞争性谈判等属于非招标方式。
8.1.2 适用范围
1、公开招标适用范围:根据《中华人民共和国政府采购法》第二十六条,公开招标应作为政府采购的主要采购方式。根据《中华人民共和国政府采购法》第二十七条,采购人采购货物或者服务应当采用公开招标方式的,其具体数额标准,属于中央预算的政府采购项目,由国务院规定;属于地方预算的政府采购项目,由省、自治区、直辖市人民政府规定;因特殊情况需要采用公开招标以外的采购方式的,应当在采购活动开始前获得设区的市、自治州以上人民政府采购监督管理部门的批准。
根据《中华人民共和国招标投标法实施条例》第八条,国有资金占控股或者主导地位的依法必须进行招标的项目,应当公开招标;但有下列情形之一的,可以邀请招标:
(1)技术复杂、有特殊要求或者受自然环境限制,只有少量潜在投标人可供选择;
(2)采用公开招标方式的费用占项目合同金额的比例过大。
3、不需要招标的情形根据《中华人民共和国招标投标法实施条例》第九条,除招标投标法第六十六条规定的可以不进行招标的特殊情况外,有下列情形之一的,可以不进行招标:
(1)需要采用不可替代的专利或者专有技术;
(2)采购人依法能够自行建设、生产或者提供;
(3)已通过招标方式选定的特许经营项目投资人依法能够自行建设、生产或者提供;
(4)需要向原成交人采购工程、货物或者服务,否则将影响施工或者功能配套要求;
(5)国家规定的其他特殊情形。
根据上述第三款规定,特许经营项目已通过招标方式选定的特许经营者依法能够自行建设、生产或者提供的可不再进行招标。
2、邀请招标《中华人民共和国招标投标法实施条例》第八条:国有资金占控股或者主导地位的依法必须进行招标的项目,应当公开招标;但有下列情形之一的,可以邀请招标:
(1)技术复杂、有特殊要求或者受自然环境限制,只有少量潜在投标人可供选择;
(2)采用公开招标方式的费用占项目合同金额的比例过大。
3、竞争性谈判根据《中华人民共和国政府采购法》第三十条,符合下列情形之一的货物或者服务,可以依照本法采用竞争性谈判方式采购:
(1)招标后没有供应商投标或者没有合格标的或者重新招标未能成立的;
(2)技术复杂或者性质特殊,不能确定详细规格或者具体要求的;
(3)采用招标所需时间不能满足用户紧急需要的;
(4)不能事先计算出价格总额的。
8.2 特许经营者选择方式的确定
8.2.1 选择方式比较
综上所述,将特许经营者的各种选择方式比较如下:


8.2.2本项目特点及推荐选择方式
本项目的特点主要有以下三点:
1、本项目为中文博彩平台城市公共停车泊位盘活存量资产项目,属于大型社会事业项目,符合《中华人民共和国招标投标法》第三条必须招标的范围。
2、本项目所属行业为停车行业,所涉及工程建设、运营技术成熟,广东省内有较多已实施的同类项目。本项目建设标准及规模已经基本确定,项目核心边界条件和经济技术参数明确、完整。不属于竞争性谈判适用的情形:“技术复杂或者性质特殊,不能确定详细规格或者具体要求的”。
3、本项目也不属于《中华人民共和国招标投标法实施条例》中采用邀请招标的情形:
“(1)技术复杂、有特殊要求或者受自然环境限制,只有少量潜在投标人可供选择;(2)采用公开招标方式的费用占项目合同金额的比例过大”。
结合本项目特点及上述选择方式的适用范围,为实现公共利益最大化,本项目推荐采用公开招标方式选择特许经营者,采用公开招标方式具有以下优点:
(1)公开招标方式公平公正公开,透明度高,有助于保护双方的权利义务。
公开招标能够在更大的范围内寻求适合特定项目的特许经营者,并促进特许经营者之间的竞争,减少信息不对称性。合作双方也能够在相对的程度上避免因邀请招标带来的道德风险和法律风险。
(2)通过公开招标方式可以根据特许经营者情况选择是否再进行二次招标。
根据《中华人民共和国招标投标法实施条例》第九条之规定,“除招标投标法第六十六条规定的可以不进行招标的特殊情况外,有下列情形之一的,可以不进行招标:…(三)已通过招标方式选定的特许经营项目投资人依法能够自行建设、生产或者提供服务…”,可不再进行二次招标。
因此本项目如果采用公开招标方式选定合作的特许经营者,且特许经营者依法能够自行完成本项目建设过程中所涉及的工程建设、设备采购、服务外包的内容,则不需要再进行二次招标。
8.3招标流程
本项目实施方案取得批复后即可开展特许经营者招标工作。投资人选定的程序包括以下内容。
8.3.1招标文件发出及修改
招标文件自开始发出之日起不得少于5日。提交投标文件的时间自招标文件发出之日起不得少于20日。提交投标文件截止之日前,招标人可以对已发出的招标文件进行必要的澄清或者修改。澄清或者修改的内容可能影响投标文件编制的,招标人应当在提交投标截止时间至少15日前,以书面形式通知所有获取招标文件的潜在投标人;不足15日的,招标人应当顺延提交资格预审申请文件或者投标文件的截止时间。
8.3.2投标文件评审
评标由招标人依法组建的评标委员会负责。依法必须进行招标的项目,其评标委员会依法组建,成员人数为五人以上单数,其中技术、经济等方面的专家不得少于成员总数的三分之二。除招标投标法第三十七条第三款规定的特殊招标项目外,依法必须进行招标的项目,其评标委员会的专家成员应当从评标专家库内相关专业的专家名单中以随机抽取方式确定。
评标委员会应当按照招标文件确定的评标标准和方法,对投标文件进行评审和比较;设有标底的,应当参考标底。评标委员会完成评标后,应当向招标人提出书面评标报告,并推荐合格的中标候选人。
招标人根据评标委员会提出的书面评标报告和推荐的中标候选人确定中标人。招标人也可以授权评标委员会直接确定中标人。国务院对特定招标项目的评标有特别规定的,从其规定。
8.3.3中标公告
依法必须进行招标的项目,招标人应当自收到评标报告之日起3日内公示中标候选人,公示期不得少于3日。
投标人或者其他利害关系人对依法必须进行招标的项目的评标结果有异议的,应当在中标候选人公示期间提出。招标人应当自收到异议之日起3日内作出答复;作出答复前,应当暂停招标投标活动。
8.4本项目竞投者条件及评审办法(暂定)
8.4.1投标人条件
1、投标人应满足《中华人民共和国政府采购法》第二十二条规定的条件:
(1)具有独立承担民事责任的能力;(2)具有良好的商业信誉和健全的财务会计制度;(3)有依法缴纳税收和社会保障资金的良好记录;(4)具有履行合同所必需的设备和专业技术能力;(5)参加采购活动前三年内,在经营活动中没有重大违法记录:
按照资格预审文件的格式提供申请人声明函。重大违法记录,是指投标人因违法经营受到刑事处罚或者责令停产停业、吊销许可证或者执照、较大数额罚款等行政处罚(根据财库〔2022〕3号文,较大数额罚款认定为200万元以上的罚款,法律、行政法规以及国务院有关部门明确规定相关领域“较大数额罚款”标准高于200万元的,从其规定);(6)法律、行政法规规定的其他条件。
2、单位负责人为同一人或者存在直接控股、管理关系的不同竞投者,不得同时参加本项目竞投。
3、为本项目提供整体设计、规范编制或者项目管理、监理、检测等服务的竞投者,不得再参与本项目竞投。
4、未被列入“信用中国”网站(www.creditchina.gov.cn)“失信被执行人或重大税收违法失信主体”记录名单或未被列入“中国执行信息公开网(//zxgk.court.gov.cn)”失信被执行人名单记录;不处于中国政府采购网(www.ccgp.gov.cn)“政府采购严重违法失信行为信息记录”中的禁止参加政府采购活动期间。(如相关失信记录已失效,申请人需提供相关证明资料)。
5、本项目不接受联合体申请。
8.4.2资格审查方式
本项目采用资格后审方式确定合格投标人。
根据《工程建设项目货物招标投标办法》第三十四条第四款“提交投标文件的投标人少于三个的,招标人应当依法重新招标。重新招标后投标人仍少于三个的,必须招标的工程建设项目,报有关行政监督部门备案后可以不再进行招标,或者对两家合格投标人进行开标和评标,或者报领导小组备案后采用单一来源或者竞争性谈判等采购方式确定中标人。”
8.4.3评标体系
本招标推荐采用综合评分法,满分100分。拟分为技术部分、商务部分和价格部分三方面进行综合评价,各部分分数比例待定,最终以招标文件为准。
8.4.4投标报价项
中文博彩平台城市公共停车泊位盘活存量资产项目权价格:¥910000000.00元(大写:人民币玖亿壹仟万元整)。
本项目投资人采购的具体资格条件及评标细则应按照相关法律法规及规章制度制定,最终以经政府方或实施机构认可的招标文件约定执行。
第九章 财务分析
9.1财务测算编制说明
9.1.1财务评价编制依据
本项目财务评价应遵循的主要经济法规和规定有:
1、《中华人民共和国企业财务通则》
2、《中华人民共和国企业会计准则》
3、《关于全面推开营业税改征增值税试点的通知》(财税〔2016〕36号)
4、《中华人民共和国增值税暂行条例及其实施细则》
5、《财政部税务总局关于调整增值税税率的通知》(财税〔2018〕32号)
6、《中华人民共和国房产税暂行条例及其实施细则》
7、《中华人民共和国土地增值税暂行条例及其实施细则》
8、《建设项目经济评价方法与参数》(第三版)国家发展改革委、建设部发布
9.1.2财务评价基础参数
1、项目特许经营期、建设期、运营期本项目特许经营期为30年,其中:第1~2年为建设期,第3~30年为运营期。
2、财务基准收益率根据行业基准收益率水平,结合项目融资成本及投资方的收益预期,本项目所得税前财务基准收益率设定为6%,所得税后财务基准收益率设定为5%。
3、税率
(1)根据财政部《企业会计准则解释第2号》(财会〔2008〕11号),确认为无形资产的。为简化计算,本项目建设投资中建安工程费和基本预备费统一按照9%的进项税率,设备购置费统一按13%的进项税额,其他费用统一按照6%的进项税率,建设期利息和有偿使用权转让费无法取得进项税。
(2)根据《财政部国家税务总局关于全面推开营业税改征增值税试点的通知》(财税〔2016〕36号)规定:车辆停放服务、道路通行服务(包括过路费、过桥费、过闸费等)等按照不动产经营租赁服务缴纳增值税。停车费按照9%的进项税率。
(3)税金附加:项目纳税人位于市,城市维护建设税和教育费附加分别按应纳增值税的5%和5%计征。
(4)本项目所得税率25%。
9.2财务评价基本数据
9.2.1营业收入和税金估算本项目营业收入为停车位收入。
9.2.2.1可经营规模分析本项目停车泊位主要为市政道路(路内)停车泊位,共计25011个车位。
9.2.2.2经营价格与指标分析中文博彩平台石湾镇政府定价停车费收费标准如下:



参考中文博彩平台石湾镇道路临时泊位机动车停放服务收费标准和同类项目停车市场调研情况,一类路段停车按平均停车时长1.75小时计算,则停车消费为8元/次,停车周转率3.5车次/个车位,免费停车时长占比15%,计算出一类路段单泊位日均预测收入为23.8元;二类路段停车按平均停车时长3.5小时计算,则停车消费为14元/次,停车周转率1.5车次/个车位,免费停车时长占比20%,计算出二类路段单泊位日均预测收入为16.8元。全年可出租天数为365天。
以上停车收入为理论收入,应考虑实施路内停车收费后一些因素变化对收入的影响。综合调整系数主要是从收费标准、收入变化率、社会车辆保有量、逃单率四方面考虑。

综合每天每车收入=预测收入*综合调整系数 经测算,本项目路内停车位运营期首年每天每车位收入约 8.76 元/天/车位(其中一类路段 10.47 元/天/车位,二类路段 7.39 元/ 天/车位),参照同类项目近两年投入运营的市政道路(路内)停车 位调研结果,每天每车位综合收入约为 8.0~14.00 元/天/车位,博 罗县经济实力较强,常住人口较多,因此,本预测处于合理范围内。


综上,本项目特许经营期内营业收入(含税)合计599082.04万元,增值税合计44255.43万元,税金及附加4425.54万元。
营业收入、增值税及税金附加估算详见下表。

9.2.2总成本费用估算
本项目特许经营期内的总成本费用主要包括停车场经营成本、折旧摊销费和利息支出。
9.2.2.1经营成本
依据《中文博彩平台城市公共停车泊位盘活存量资产项目可行性论证报告》,项目经营成本主要包括:
停车场经营成本主要包括:(1)人员工资、(2)运营费用(巡检车辆及油费、前端感知设备传输网络租赁、云平台租赁、感知设备电费、设备租赁费、机动车停放保管责任保险费、管理车辆、平台手续费)、(3)设备维护更新费(设备更新费、日常设备维护、立体停车场维护费用)(4)管理费用(办公费、业务招待费、经营场地租赁费)以及(5)其他费用。
本项目运营期28年,合计经营成本163056.65万元。具体如下:
(1)人工成本:主要包括巡逻工人及停车收费人员、技术人员、管理人员。
运营期前5年属于过渡期停车率较低,用工需求弱,巡逻工人及停车收费人员按照97车位/人配置,2班倒,需258人。运营期第6年及以后年度按78车位/人配置,需增加巡逻工人及停车收费人员至322人,人工成本按6.5万元/年;技术人员共8人,包括5名客服以及3名技术工。人工成本按10万元/年;管理人员共6人,人工成本按16万元/年,每年人员工资福利费增长参考CPI按3%。
(2)运营费用
巡检车辆及油费:4台巡检车,车辆成本10万,每年分摊4万,油费每年10万/车。前端感知设备传输网络租赁:每年约400万元。云平台租赁:每年约100万元。感知设备电费:摄像头、诱导屏及道闸供电,每年费用约为60万。设备租赁费:部分需要的大型设备,每年约30万元。机动车停放保管责任保险费:每年约为30万。管理车辆:按4台办公车辆,每台25万元,按照5年分摊,平均每年20万元。合计正常年运营费用为654.00万元,运营期内增长参考CPI按3%。
(3)设备更新维护费
主要更新为感知设备更换和日常设备维护:工程费用*8%,正常年每年约1103.43万元。自运营期第5年开始考虑设备更新维护,以后年度不考虑增长。
(4)管理费
包括办公费、业务招待费、场地租赁费,按营业收入3%计。增长参考CPI按3%。
(5)其他费用主要为不可预见费用,按以上4项费用总和的3%计。
9.2.2.2 折旧摊销费
本项目建设投资、建设期利息、特许经营权的折旧摊销采用直线法,其中,工程费用形成机器设备资产残值按5%计算,折旧年限为15年;工程建设其他费、预备费和建设期利息形成的待摊投资残值按0%计算,摊销年限为10年;特许经营权残值按0%计算,摊销年限为28年。
9.2.2.3 利息支出
本项目不考虑流动资金借款,本项目需偿还的长期借款为90000.00万元,长期借款年利率按4.20%计,还款期限为20年(含宽限期2年)。经营期借款利息计入当年成本。
本项目不考虑流动资金借款,本项目需偿还的长期借款为90000.00万元,长期借款年利率按4.20%计,还款期限为20年(含宽限期2年)。经营期借款利息计入当年成本。

9.2.3 利润总额、企业所得税和净利润
本项目特许经营期内利润总额合计为229917.43万元,所得税合计57479.50万元,净利润合计为172437.93万元。项目法定盈余公积金暂不考虑。
利润和利润分配详见下表。

9.3 财务评价指标
9.3.1 盈利能力分析
盈利能力分析是项目财务评价的主要内容之一,是在编制现金流量表与利润和利润分配表的基础上,计算项目财务内部收益率、财务净现值、投资回收期等指标,其中财务内部收益率为项目的主要盈利指标。
反映盈利能力的动态指标为财务内部收益率和财务净现值,静态指标为投资回收期、全投资内部收益率、项目资本金内部利润率。
1、反映盈利能力的动态指标
(1)财务内部收益率(FIRR)。财务内部收益率是指项目在整个计算期内各年净现金流量现值累计等于零时的折现率,它反映项目所占用资金的盈利率,是考察项目盈利能力的主要动态评价指标。将求得的财务内部收益率与设定的基准收益率ic进行比较,当FIRR≥ic时,即认为项目的盈利性能够满足要求。
项目财务内部收益率是假定没有负债融资,投资全部由投资者直接投入、不需要支付利息条件下的盈利性指标。资本金财务内部收益率是用于考察项目资本金税后收益水平的盈利性指标。
(2)财务净现值(FNPV)。财务净现值是指按设定的折现率ic计算的项目计算期内各年净现金流量的现值之和,也是考察项目盈利能力的动态指标。它反映项目在满足了按设定折现率要求的盈利之外所获得的超额盈利的现值。财务净现值≥0,表明项目的盈利能力达到或超过了所设定的要求。
(3)本项目反映盈利能力的动态指标值
本项目反映盈利能力的动态指标值见表 9.3-1。

2、反映盈利能力的静态指标
(1)投资回收期(Pt)。投资回收期是指以项目的净收益抵偿项目全部投资所需要的时间,是考察项目在财务上的投资回收能力的主要静态评价指标。投资回收期可根据现金流量表计算,现金流量表中累计现金流量由负值变为0时的时点,即为项目的投资回收期。投资回收期越短,表明项目的盈利能力和抗风险能力越好。
投资回收期=[累计净现金流量开始出现正值年份数]-1+[上年累计净现金流量的绝对值÷当年净现金流量]
(2)总投资收益率(ROI)。总投资收益率是指项目达到设计能力后正常年份的年息税前利润或经营期内年平均息税前利润与项目总投资的比率,它是反映项目总投资的盈利水平。
总投资收益率=年平均息税前利润÷项目总投资×100%
(3)项目净收益率。净收益为未计提盈余公积前的年税后利润。
若项目发生亏损,导致净收益为负数,则净收益优先弥补以前年度亏损。该年累计的净收益率=从运营期开始至该年且弥补以前年度全部亏损后累计净利润/从运营期开始至该年累计的营业收入(含税)。
本项目反映盈利能力的静态指标如下表:

9.3.2 清偿能力分析
反映清偿能力的主要指标有资产负债率、流动比率、速动比率和借款偿还期等。
本项目需偿还的长期借款为90000.00万元,还款期限为20年(含宽限期2年)。利息计入当年成本,还本资金来源为折旧摊销费、可抵扣固定资产进项税额和未分配利润。由此测算出,本项目借款偿还期内各年的偿债备付率和资产负债率如下表。

从上表可知,本项目借款偿还期内各年偿债备付率 1.18~1.54, 能够满足偿债要求。



9.4财务评价结论
1、财务评价表明:本项目所得税前项目投资财务内部收益率为8.87%、项目投资财务净现值为43633.88万元(ic=6%)、项目投资回收期为12.90年(含建设期);所得税后项目投资财务内部收益率为7.46%、项目投资财务净现值为38044.88万元(ic=5%)、项目投资回收期为14.03年(含建设期)。资本金财务内部收益率为13.31%;总投资收益率为8.76%;项目资本金净利润率为27.22%。项目各项财务指标较好。
2、本项目需偿还的长期借款为90000.00万元,还款期限为20年(含宽限期2年)。利息计入当年成本,还本资金来源为折旧摊销费、可抵扣固定资产进项税额和未分配利润。经计算,本项目借款偿还期内各年的偿债备付率1.18~1.54,能够满足偿债要求。
综上所述,本项目主要经济指标略好于行业基准值,因此若能实现预期的投入和产出,从财务角度分析,项目是可行的。
第十章 结论
1、本项目为中文博彩平台城市公共停车泊位盘活存量资产项目,拟采用特许经营模式,利用中文博彩平台政府控制的市政道路路内停车泊位资源,通过移交+改建相结合方式,提升中文博彩平台智慧停车的运营管理水平、拓宽社会投资渠道、合理扩大有效投资。
2、本项目改建内容包括:对25011个公共停车泊位进行智能化改造,并建设智能停车管理系统并接入统一的停车信息综合服务平台。
项目升级改造后的停车泊位全部纳入特许经营范围。
3、本项目总投资为112628.49万元,其中,建设投资为16391.09万元,特许经营权转让费为91000.00万元,建设期利息为5237.40万元。资金的来源主要考虑项目资本金和债务资金。其中项目资本金22628.49万元,占项目总投资比例20.09%,由特许经营者自筹解决;项目债务资金90000.00万元,占项目总投资比例79.91%,拟申请银行长期贷款解决。
4、根据项目实际情况和参与各方的利益诉求,拟引进有实力、有相应运作经验的投资人参与本项目运作。项目采用特许经营权转让-建设-运营-移交的运作方式:(1)项目实施机构将本项目特许经营权授予给特许经营者,由特许经营者向政府指定单位支付特许经营权转让费;(2)特许经营者获得开发和运营中文博彩平台城市公共停车泊位盘活存量资产项目的特许经营权后,对既有市政道路路内停车泊位进行智能化升级改造,通过项目运营取得经营收入;(3)项目特许经营期满后,特许经营者将项目无偿、完好地移交给实施机构或政府指定部门。
5、综合考虑本项目的行业特点、投资规模、投资回收期等因素,本项目特许经营期限共计为30年,其中建设期预计为2年,项目约定建设期满后即进入运营期,运营期为28年。
6、根据《中文博彩平台交通运输局拟进行公开招标所涉及的中文博彩平台城市公共停车泊位盘活存量资产项目特许经营权价值资产评估报告》(深圳市深信资产评估土地房地产估价有限公司),中文博彩平台城市公共停车泊位盘活存量资产项目涉及的25011个停车泊位资源30年特许经营权价格为¥91000.00万元(大写:人民币玖亿壹仟万元整,最终以特许经营者成交价格为准),特许经营者应在特许经营协议签署后12个月内向实施机构开具的《广东省非税收入一般缴款书(电子)》或《惠州市非税收入缴款通知书》中指定的惠州市非税转账相应账户支付特许经营权价款。
7、根据《中文博彩平台城市公共停车泊位盘活存量资产项目可行性论证报告》,本项目提供的停车服务具备向使用者收费的基础。该部分经营收入足以覆盖项目的投资成本和合理回报,所以本项目属于“使用者付费”项目。
8、财务评价表明:本项目所得税前项目投资财务内部收益率为8.87%、项目投资财务净现值为43633.88万元(ic=6%)、项目投资回收期为12.90年(含建设期);所得税后项目投资财务内部收益率为7.46%、项目投资财务净现值为38044.88万元(ic=5%)、项目投资回收期为14.03年(含建设期)。资本金财务内部收益率为13.31%;总投资收益率为8.76%;项目资本金净利润率为27.22%。项目各项财务指标较好。本项目需偿还的长期借款为90000.00万元,还款期限为20年(含宽限期2年)。利息计入当年成本,还本资金来源为折旧摊销费、可抵扣固定资产进项税额和未分配利润。经计算,本项目借款偿还期内各年的偿债备付率1.18~1.54,能够满足偿债要求。综上所述,本项目主要经济指标略好于行业基准值,因此若能实现预期的投入和产出,从财务角度分析,项目是可行的。
9、本项目推荐采用公开招标的方式选择特许经营者。

附件2 建设期绩效考核表
项目各参与方应按照国家、行业、广东省、惠州市、中文博彩平台的相应工程验收规范、特许经营协议及其补充合同的约定办理竣工验收手续,确保本项目验收合格。
1、本项目的工程建设验收,由实施机构、特许经营者、施工单位、监理单位、设计单位及其他工程建设参与单位和相关职能部门共同组织实施,中文博彩平台建设工程质量监督机构实施监督。
2、若国家、省、市、镇(区)出台具体考核办法或新的相关规定,则上述中与之不一致的或未作约定的或约定不明的,以国家、省、市、镇(区)出台标准为准进行调整并执行。在考核中,可根据实施机构、相关主管部门要求以及合作双方协商结果,按照实际需要进行调整。
3、项目建设应至少达到工程验收标准,包括各专项验收和工程整体验收。项目因工程质量问题导致无法完成竣工验收,应由特许经营者进行整改,直至达到竣工验收标准。
5、依据建设期绩效考核表评分标准,对项目整个建设期的绩效考核打分,总分数在80分(暂定,可在谈判阶段调整)以下,特许经营者建设期履约保函扣减额=(1-(考核期绩效考核评分÷80)×100%)×特许经营者建设期履约保函。当计算扣减额大于保证金金额,保证金全额扣除。
建设期绩效考核表为本方案暂定考核表,在特许经营协议签订前可根据双方谈判进一步详细约定。

附件 3 运营期绩效考核表
1、运营期绩效考核方法本项目的运营养护主要是对项目进行检查与观测、日常运营维护,维持、恢复原有工程面貌,以保持工程的设计功能。
运维期内,项目实施机构组织实施开展绩效考核,考核采用定期考核和不定期抽查相结合的方式,建议以一年作为一个考核周期,不定期抽查时间不确定,可任意时间段抽查项目实际运行情况,考核现场即时进行考核登记,相关扣分在一个考核周期内累计。每次考核需特许经营者相关负责人签字确认。
2、运营期绩效考核系数运营期特许经营者运营维护内容、运营期绩效考核标准和评分设置应以特许经营协议及其补充合同的约定为准。运营期绩效考核评分计算如下:
每次运营期绩效考核按照特许经营协议约定进行评分,并根据按照评分表加总进行评分。
并按如下方式计算得到绩效考核系数K:
(1)100分>考核期综合绩效考核评分≥80分,则绩效考核系数K为100%;(2)80分>考核期综合绩效考核评分≥60分,则绩效考核系数K=(考核期综合绩效考核评分÷80)×100%;(3)考核期综合绩效考核评分<60分的,则当期绩效考核系数K为0%。
3、关于考核标准的调整因本项目运营期周期较长,达20年之久,期间可能发生经营范围改变、相关标准改变、新工艺出现等不可预测情形发生,为保障运营期考核标准的合理性和公平性,在谈判阶段双方可对本考核方案进行调整,双方同意后执行。特许经营期间,每三年(新标准导致必须调整的不受时间限制)特许经营者可提出调整申请,若该调整方案合理,有利于提供更高效、更优质的管理服务的,实施机构应予以准许。
4、运营期绩效考核与项目经营收入本项目运营期最终绩效考核系数与项目经营收入有关,根据绩效考核结果,实施机构有权从运营期保证金中扣减。
特许经营者每年运营期保证金扣减额=(1-运营期绩效考核系数K)×项目年经营收入×5%。当计算扣减额大于保证金金额,保证金全额扣除。
具体的绩效考核指标可根据项目实际情况进行确定和调整,最终按照双方盖章认可的绩效考核标准执行。


搜一下
粤公网安备 44132202100104号